-
- News
- Books
Featured Books
- design007 Magazine
Latest Issues
Current IssuePower Integrity
Current power demands are increasing, especially with AI, 5G, and EV chips. This month, our experts share “watt’s up” with power integrity, from planning and layout through measurement and manufacturing.
Signal Integrity
If you don’t have signal integrity problems now, you will eventually. This month, our expert contributors share a variety of SI techniques that can help designers avoid ground bounce, crosstalk, parasitic issues, and much more.
Proper Floor Planning
Floor planning decisions can make or break performance, manufacturability, and timelines. This month’s contributors weigh in with their best practices for proper floor planning and specific strategies to get it right.
- Articles
- Columns
- Links
- Media kit
||| MENU - design007 Magazine
An Examination of Glass-fiber and Epoxy Interface Degradation in Printed Circuit Boards
July 12, 2019 | Bhanu Sood, Michael Osterman, and Michael Pecht, Center for Advanced Life Cycle EngineeringEstimated reading time: 9 minutes

Multilayer organic laminates, which make up over 90% of the interconnecting substrates in electronics (standard FR-4 represents 85% of the substrates used for laminates), can develop a loss of electrical insulation resistance between two biased conductors due to conductive filament formation. The probability of conductive filament formation is a function of the temperature, moisture content, voltage bias, manufacturing quality and processes, materials, and other environmental conditions and physical factors.
With increases in design density and tighter spacing between conductors, the probability of failure due to conductive filament formation (CFF) in printed circuit board (PCB) electronic assemblies has increased. CFF is a failure observed within glass-reinforced epoxy PCB laminates caused by an electrochemical process involving the ionic transport of a metal through or across a non-metallic medium under the influence of an applied electric field [1 & 2]. The growth of the metallic filament is a function of temperature, humidity, voltage, laminate materials, manufacturing processes, and the geometry and spacing of the conductors [2]. The growth of these filaments can cause an abrupt loss of insulation resistance between the conductors under a DC voltage bias.
A statistical examination of field returns and root cause analysis performed at the Center for Advanced Life Cycle Engineering (CALCE) at the University of Maryland shows that failures in PCBs account for a significant percentage of field returns in electronic products and systems. Studies on CFF [2 & 3] have found that path formation in a PCB is often along the glass fiber to epoxy matrix interface (Figure 1).
Figure 1: Schematic describing CFF growth [3].
Delamination along the fiber-resin interface can occur as a result of stresses generated under thermal cycling due to coefficient of thermal expansion (CTE) mismatch between the glass fiber (CTE = ~5.5 ppm/°C) and the epoxy resin (CTE = ~65 ppm/°C) (Figure 2). CFF can take place in the plated through-hole to plated through-hole (PTH-PTH), PTH-plane, and trace-trace geometries.
Figure 2: CFF growth path along the glass fiber and resin interface [3].
A two-step model was developed to explain the growth of conductive filaments at the resin-glass interface in PCBs [1 & 3] where degradation of the resin-glass interfacial bond first occurs, followed by an electrochemical reaction. According to Lando [2], the path required for the transportation of metal ions formed by the degradation of the resin-glass interfacial bond results from the mechanical release of stresses, poor glass treatment, hydrolysis of the silane glass finish, or stresses originating from moisture-induced swelling of the epoxy resin.
Path formation was reported to be independent of bias; however, humidity was identified as a contributing factor towards degradation. After path formation, the PCB is viewed as an electrochemical cell. In this cell, the copper conductors are the electrodes, the absorbed water is the electrolyte, and the driving potential for the electrochemistry is the operating or test potential of the circuit. The electrode reactions for the metal migration are:
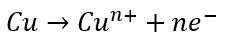
At the anode:
Equation 1:
Equation 2:
At the cathode:
Equation 3:
Pathway Formation in CFF
In PCBs, one manner in which the pathway between conductors is formed is through chemical hydrolysis of the silane glass finish or coupling agent. Past work has shown that the glass epoxy interface absorbs five to seven times more moisture than the bulk epoxy [5]. A common cross-linking agent used in FR-4 and many other epoxy-based laminated systems is dicyandiamide, or dicy. Dicy and glass surfaces are both hydrophilic. This combination of a hydrophilic surface and cross-linking agent is one of the factors responsible for the degradation of the glass fiber-epoxy resin interface due to hydrolysis. Williams [6] has shown that PCBs manufactured with non-dicy cross-linked epoxy resins are more resistance to CFF failures than PCBs manufactured with dicy cross-linked epoxy resins.
Organosilanes are bifunctional molecules that act as adhesion promoters, crosslink agents, and moisture scavengers in adhesive and sealant products [7]. Silane adhesion promoters act as molecular bridges between two chemically different materials and have been shown to dramatically improve the adhesion of polymeric resins to substrates such as glass, silica, alumina, or active metals.
Page 1 of 3
Testimonial
"Advertising in PCB007 Magazine has been a great way to showcase our bare board testers to the right audience. The I-Connect007 team makes the process smooth and professional. We’re proud to be featured in such a trusted publication."
Klaus Koziol - atgSuggested Items
Nolan’s Notes: Tariffs, Technologies, and Optimization
10/01/2025 | Nolan Johnson -- Column: Nolan's NotesLast month, SMT007 Magazine spotlighted India, and boy, did we pick a good time to do so. Tariff and trade news involving India was breaking like a storm surge. The U.S. tariffs shifted India from one of the most favorable trade agreements to the least favorable. Electronics continue to be exempt for the time being, but lest you think that we’re free and clear because we manufacture electronics, steel and aluminum are specifically called out at the 50% tariff levels.
MacDermid Alpha & Graphic PLC Lead UK’s First Horizontal Electroless Copper Installation
09/30/2025 | MacDermid Alpha & Graphic PLCMacDermid Alpha Electronics Solutions, a leading supplier of integrated materials and chemistries to the electronics industry, is proud to support Graphic PLC, a Somacis company, with the installation of the first horizontal electroless copper metallization process in the UK.
Electrodeposited Copper Foils Market to Grow by $11.7 Billion Over 2025-2032
09/18/2025 | Globe NewswireThe global electrodeposited copper foils market is poised for dynamic growth, driven by the rising adoption in advanced electronics and renewable energy storage solutions.
MacDermid Alpha Showcases Advanced Interconnect Solutions at PCIM Asia 2025
09/18/2025 | MacDermid Alpha Electronics SolutionsMacDermid Alpha Electronic Solutions, a global leader in materials for power electronics and semiconductor assembly, will showcase its latest interconnect innovations in electronic interconnect materials at PCIM Asia 2025, held from September 24 to 26 at the Shanghai New International Expo Centre, Booth N5-E30
Trouble in Your Tank: Implementing Direct Metallization in Advanced Substrate Packaging
09/15/2025 | Michael Carano -- Column: Trouble in Your TankDirect metallization systems based on conductive graphite are gaining popularity throughout the world. The environmental and productivity gains achievable with this process are outstanding. Direct metallization reduces the costs of compliance, waste treatment, and legal issues related to chemical exposure. A graphite-based direct plate system has been devised to address these needs.